计算是整个小学的基础,包括整数、小数和分数的各类混合计算。计算中所有方法的核心都是凑整,在分数中也不例外。
在分数、小数的四则混合运算中,到底是把分数化成小数,还是把小数化成分数,这不仅影响到运算过程的繁琐与简便,也影响到运算结果的精确度,因此,要具体情况具体分析,而不能只机械地记住一种化法:小数化成分数,或分数化成小数。
方法1:一般情况下,在加、减运算中,分数化成小数比较方便。
方法2:在加、减法中,如果遇到分数只能化成循环小数时,就不能把分数化成小数。此时要将包括循环小数在内的所有小数都化为分数,然后再通分。
方法3:通分有技巧,一般学生都会选择用短除寻找最小公倍数,有些学生直接选择两数的乘积,这样都是可以的,但是如果出现短除找不到最小公倍数,则最好把较小的数分解质因数,然后用它的质因数去除另一个数,从而找到公因数,比如57和76,我们可以把57=3×19,然后发现76不能被3整除,所以试除19,发现76=19×4,所以找到最大公因数。
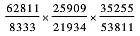
方法4:在乘、除运算中,一般情况下,小数化成分数计算,则比较简便,记住约分的时候一定要完全,如果出现看上去比较大的两个数,可以用试除或是分解质因数,比如
,解法是
方法5:在运算中,使用假分数还是带分数,需视情况而定,怎么简便怎么算,如果出现带分数的整数部分非常大,在化假分数的时候可以选择性的不用解出乘积,可以带着式子求解,也许还能提取公因数,比如
,解答时需要化成假分数,然后变成倒数求解,过程如下
方法6:在计算中经常用到除法、比、分数、小数、百分数相互之间的变,把这些常用的数互化数表化对学习非常重要,大家一定要掌握好他们之间的关系。
方法7:在繁分数的计算中,要找到主分数线,然后主分数线上面的数乘以主分数线下面的数的倒数,这样繁分数就化简了,牢牢记住除以一个数等于乘以这个数的倒数。
分数与小数的解题方法计算篇(二)——叶金娜老师
2012-12-13 15:52:30 来源:叶金娜老师
![]() |
高中年级单词默写+听力汇总资料领取 | 点击领取 | 高中二轮数学资料领取 | 点击领取 | 高中下期中精题及真题资料汇总 | 点击领取 |
往年高中下学期期中精题和真题免费领取
电子课本 | 能力模块训练题 | 开学试卷



