
单元测试卷丨学科知识同步丨期中期末卷等
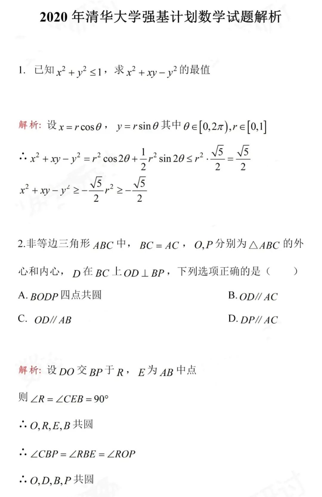
清华大学强基笔试题,准备的北京小伙伴要加油!清华大学2020强基计划招生已经结束,综合诊断包含笔试和删掉。下面小编就给大家带来清华大学强基笔试题,准备的北京小伙伴要加油,希望对大家有所帮助哦!预祝各位报名考生顺利入围!
想了解清华大学强基笔试题,准备的北京小伙伴要加油
请拨打4000-121-121咨询
生走强基计划至少有以下两个优势:
点击下方文字↓↓↓
学而思·爱智康强基专项课程 咨询电话:4000-121-121
清华大学新成立五大书院 统筹推进强基计划人才培养
新设立致理、未央、探微、行健、日新五大书院统筹推进强基计划人才培养;创造性地设计了基础理科工程衔接类专业,在突出基础学科支撑引领作用的基础上,按照理工双学士学位进行交叉特色培养;本研衔接培养,本科毕业时符合清华大学免试攻读研究生资格要求的孩子,可优先推荐免试攻读相关专业的硕士、博士研究生。
为实现“强基计划”人才选择与培养的一体化管理,清华大学新成立致理、未央、探微、行健、日新五大实体书院,作为强基计划的人才培养单位,负责强基计划孩子的人才培养和管理工作。清华大学将对强基计划孩子单独编班,配备有热情、高水平的一流的师资,提供一流的学习条件,创造一流的学术环境与氛围。针对强基计划孩子定制高水平通识教育课程,提高专业核心课程质量,同时鼓励开展学科交叉、研究性学习,实行导师制、小班化等培养模式。为孩子的充分发展提供条件,鼓励孩子表现特长、发展潜质,追求卓越。同时着力巩固孩子的使命驱动,在培养过程中注重引导孩子树立家国天下的远大志向,不仅使孩子在学术上有所收获,更重要的是激发孩子献身国家重大战略需求的责任感、品质感与使命感。
在数理基础科学、化孩子物学、理论与应用力学这三个基础理科工程衔接类专业,清华大学专门设计了理工双学士学位的培养模式。完成相关培养方案要求的孩子,毕业时可获得理学和工学双学士学位。希望通过双学士学位的培养方案,巩固基础学科的支撑引领作用,同时有效促进不同专业之间培养方案的有机融合,实现学科交叉基础上的差异化、特色化人才培养。
志趣坚定、禀赋优异,综合评价、优中选优,是清华大学强基计划人才选择的主要原则。入选清华大学强基计划的孩子首先要认同“强基”理念,具备“强基”特质,即胸怀家国,志向坚定,有志于未来从事基础学科和关键领域研究。在强基计划的制定过程中,清华大学充分借鉴了“学堂计划”较好创新人才培养的丰富经验,希望能通过选育衔接真正找到并帮助那些有志于从事基础学科研究,有着强烈的学术志趣的孩子成长成才。
一位考生说,删掉现场发放了书院相关的材料,写出演讲提纲再参加删掉。删掉中先进行5分钟的演讲,之后再回答现场提问。有一位考生的简历中写有生物获奖信息,评委还问到跟相关的问题。
一位来自湖北的考生点评说,这次删掉主要考查信息提炼总结、观点表达以及临场应变能力,同时考量孩子对清华的关注和认同。
清华历来重视体育,此前强基计划招生简章也提到将开展体测。今天,多位考生确认已接到体测取消的消息。
另外,据入围北京大学强基计划的考生透露,今年北大强基计划诊断通过文化课机考和网络删掉进行,因疫情原因取消体育诊断。
《2016-2020强基计划真题及答案》书籍部分实拍图如下↓


以上就是小编特意为大家整理的清华大学强基笔试题,准备的北京小伙伴要加油的相关内容,同学们在学习的过程中如有疑问或者想要获取更多资料,欢迎拨打学而思爱智康免费电话:
更有专业的老师为大家解答相关问题!
想了解更多清华大学强基笔试题,准备的北京小伙伴要加油
请拨打4000-121-121咨询
相关推荐:
文章来源于网络整理,如有侵权,请联系删除,邮箱fanpeipei@100tal.com