三 计算题
20. 解下列方程
(1)
(2)
(配方法)
(3)
21. 解关于x的方程
22. 已知
四 解答题
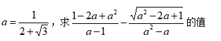
23. 已知
,请化简并求值:
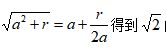
24. 若实数a,b分别满足
的值

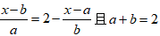
26. 已知关于x的方程
(1)求证:方程总有两个实数根
(2)若方程有一个小于1的正根,求实数k的取值范围

五 阅读,并回答下列问题
28. 公元3世纪,我国古代数学家刘徵就能利用近似公式
近似值.

小编会陪你从初中到高三毕业,给大家提供学习知识和学习资讯,如果有需要可以CTRL+D收藏网站及时获得资讯。学而思爱智康网站尊重原创文章,如有侵权,请及时与我们联系,感谢您的阅读。





